Step 1: Check for complete octets
First up, let’s see if all atoms have a complete octet.
Key rule: The resonance forms in which the greatest number of atoms have full octets will usually contribute the most to the resonance hybrid.

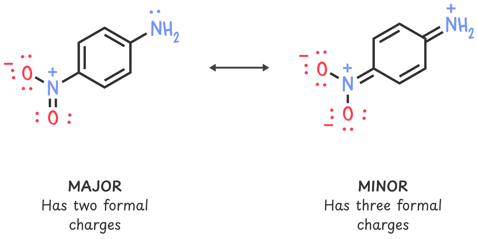
Step 2: Count formal charges
Next, let’s identify and count any formal charges in the structure
Key rule: Structures with fewer formal charges are more significant since fewer charges generally mean greater stability.

Step 3: Consider the placement of formal charge(s)
Now that you know how many charges each form has, let’s look at where they are and how well they’re stabilized.
Stability of negative charges
1️⃣ Electronegativity
Within the same row, negative charges are more stable on more electronegative atoms.

2️⃣ Size
Within the same column, larger atoms spread out the charge better, making them more stable.

3️⃣ Induction
Nearby electron-withdrawing groups can pull density away, helping to stabilize a negative charge.

Stability of positive charges (carbocations):
1️⃣ Alkyl substituents
Each additional alkyl group donates electron density through hyperconjugation and a bit of inductive push—so tertiary > secondary > primary > methyl.

2️⃣ Electron withdrawing groups
EWGs do the opposite of alkyl groups—they pull electron density away from the carbocation center via inductive effects, making the carbocation less stable.

Step 4: Evaluate charge separation
Finally, let’s see how far apart any opposite charges lie.
Key rule: When a positive and negative charge are close together, the overall energy is lower than if they’re far apart, so forms with minimal charge separation are more significant.

Quick recap
By the end of this guide, you’ll be confidently ranking resonance forms by asking yourself:
- Octets: Do all atoms have eight electrons (or two for hydrogen)?
- Charges: How many are there?
- Placement: Are the charges on atoms or in environments that stabilize them?
- Separation: Are opposite charges close or far apart?
With these four checkpoints in hand, you can not only identify which resonance forms are most important, but also rank them from least significant to most significant. Got questions or thoughts? Share them below